💡자료의 분포 형태를 알아야 하는 이유
• 어떤 통계분석 방법을 선택할 지는 '자료의 속성/형태' 와 '분석 목적' 에 따라 달라진다.
• 즉, 분석하고자 하는 자료가 통계분석 방법에서 가정한 조건을 얼마나 만족하는지에 따라 분석 방법의 적절성이 결정된다.
• 특히 많은 통계분석 방법에서 모집단의 분포가 중심위치를 기준으로 대칭(symmetric)한다고 가정한다.
• 따라서 자료가 모집단의 가정을 만족하는지 확인하기 위해서는, 자료의 분포 형태에 대한 측도를 확인할 필요가 있는 것이다.
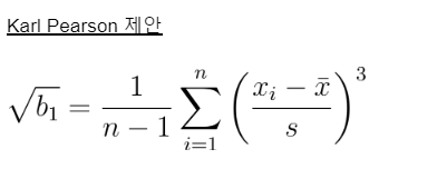
왜도(skewness)

• 자료의 분포가 대칭적인지 or 한쪽으로 치우쳐있는지를 나타내는 측도
• 큰 음수: 왼쪽으로 꼬리가 긴 분포
• 큰 양수: 오른쪽으로 꼬리가 긴 분포
• 0 에 가까울수록 대칭을 이루는 분포

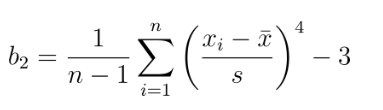
첨도(kurtosis)

• 양쪽 꼬리가 얼마나 두터운지를 나타내는 측도
• 분포의 중심보다는 꼬리부분이 얼마나 두터운지에 따라 영향을 많이 받기 때문이다.
• 첨도가 클수록 이상치가 많을 수 있다. (왜냐하면 꼬리가 얇고 긴 형태를 띠기때문에)
• 경우에 따라 위의 식에서 3을 빼주는 형태로 많이 사용하는데, 그 이유는 정규분포에 가까운지 확인하는데 사용하기 위하해서다. (정규분포의 경우 이론적으로 첨도가 3이기때문에)



왜도와 첨도의 활용
• 이상치 확인: 왜도나 첨도의 값이 심하게 큰 경우, 자료에 이상치가 있을 가능성이 높다.
• 정규성 검정: 정규분포의 왜도=0, 첨도=3 이므로, 이를 활용하여 정규성을 검정할 수 있다. (Jacque-Bera test)
[참고자료]
경북대학교 - 왜도, 첨도, 정규성
http://webbuild1.knu.ac.kr/~bskim/normality.htm
갈릭님 블로그 - 왜도 첨도
https://blog.naver.com/yk60park/222100758577
'통계 노트 > 기초통계' 카테고리의 다른 글
| 기초통계 / 표본 공분산, 표본 상관계수 (0) | 2022.08.15 |
|---|---|
| 기초통계 / 자료를 파악하는 방법 (표, 그래프) (0) | 2022.08.15 |
| 기초통계 / 산포도 (사분위범위, 표본 분산, 표본 표준편차, 변동계수) (0) | 2022.08.14 |
| 기초통계 / 대표값 (평균, 중앙값, 절사평균, 최빈값) (0) | 2022.08.12 |
| 기초통계 / 자료의 종류, 척도의 종류 (0) | 2022.07.07 |